T - model of BJT ( small - signal model development of BJT )
we can use BJT in both the cases of small signal and large signals for the amplification of them, when we deal with the smaller amplitude signals and try to amplify them then the term small-signal model development of BJT and small-signal analysis of BJT comes into the picture.
Small signal model
when we biased the BJT then we try to analyze the BJT for the small-signal operation so we feel a need for replacement of BJT with some simple electrical circuit for easy dealing we chose the components as they give the same functionality as BJT and then we analyze them for small signals. The simpler circuits are referred to as the small-signal models of BJT.
Here in this article, we deal with T - model of BJT it is called by this name because it looks like T shape
T - model of BJT ( small - signal model development of BJT )
Although the hybrid pi model of BJT is simple and very well used for the analysis of the amplifiers, yet the other variant of the model is more convenient in some situations. This variant is called the T - model,
if we rotate the figure by 90 degree we see that it appears like T so it is called the T model of BJT
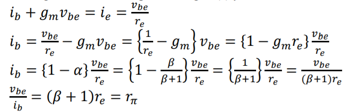
Writing KCL at the base point in the following figure (a)
The base current drive should have the input resistance r pi; which comes out from this derivation
fig: The T model of BJT with ro





No comments:
Post a Comment